Ir a Menú

Ir a Contenido

Sección: Estado de Veracruz

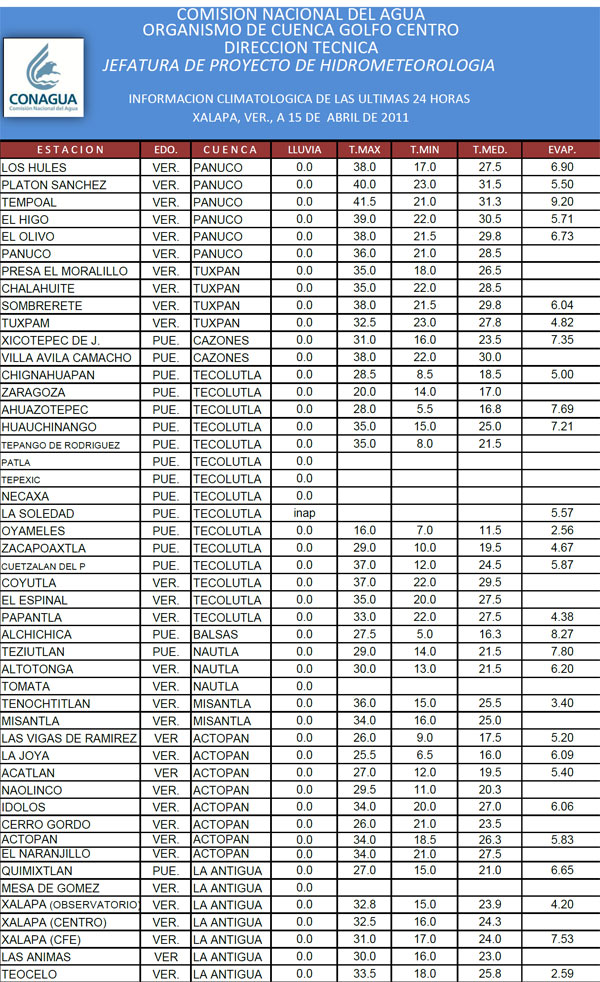
El clima real de ayer viernes

- Temperaturas más altas: Tempoal, 41.5°C; Platón Sánchez y La Cangrejera, 40°C

- Carrizal, 39°C; Xalapa, 32.8°C; Veracruz, 32.2°C; Coatzacoalcos, 36.5°C

- Ni gota de lluvia en ninguno de los 212 municipios del Estado

 

Conagua Xalapa, Ver. 15/04/2011