Ir a Menú

Ir a Contenido

Sección: Estado de Veracruz

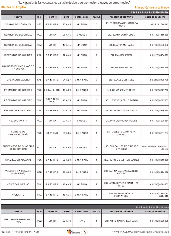
Oferta 302 vacantes el Servicio Nacional de Empleo, esta primera quincena de marzo

02/03/2012