Ir a Menú

Ir a Contenido

Sección: Estado de Veracruz

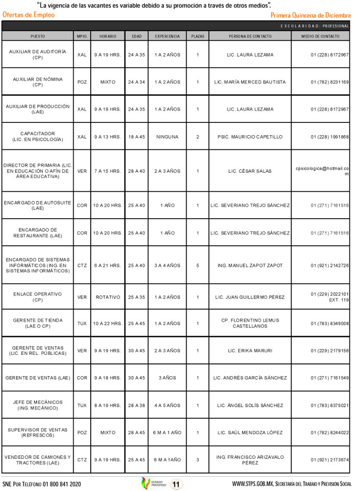
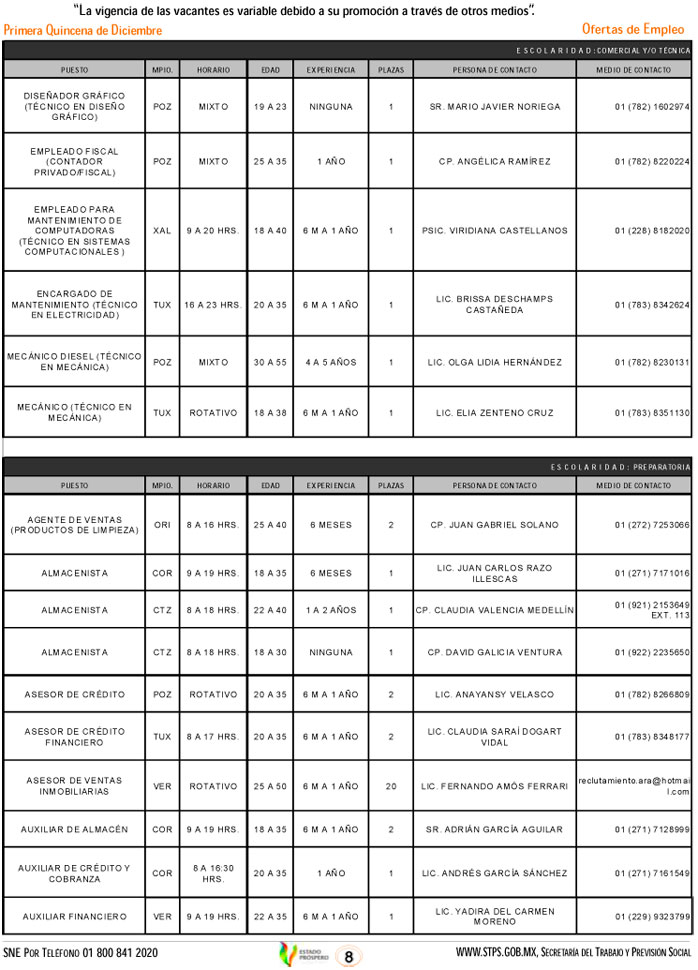
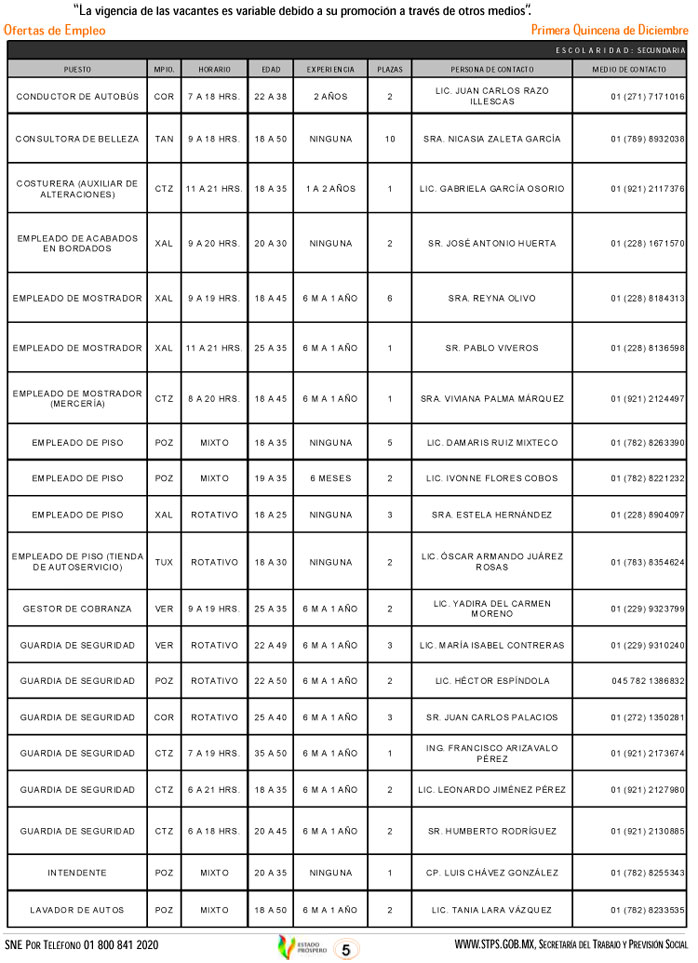
Oferta 333 vacantes el Servicio Nacional de Empleo, esta primera quincena de diciembre

02/12/2011